www.mathesport.de Knobelmix

zurück vor Lösung

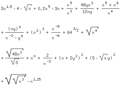
Aufgabe 335: Potenzen und Wurzeln



Der folgende Ausdruck ist soweit wie möglich zusammenzufassen!