www.mathesport.de Knobelmix

zurück vor Lösung

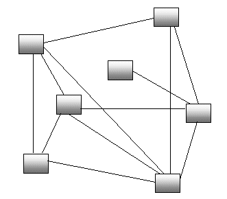
Aufgabe 342: Linien und Summen

In die n leeren Felder sollen die Ziffern 1 bis n eingetragen werden. Jede dieser Ziffern ist mit mindestens einem weiteren Ziffernfeld verbunden, deren jeweilige Summe vorgegeben ist. Welche Ziffern gehören also in die Rechtecke, damit die vorgegebenen Summen erreicht werden?
1 => 20
2 => 18
3 => 14
4 => 19
5 => 2
6 => 7
7 => 8

1 => 32
2 => 16
3 => 11
4 => 4
5 => 24
6 => 14
7 => 5
8 => 12
9 => 8

Die beiden Lösungszahlen erhalten Sie, wenn Sie die richtigen Ziffern in die Kästchen schreiben und die Ziffern von oben nach unten aneinanderhängen.