www.mathesport.de Knobelmix

zurück vor Lösung

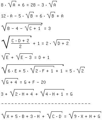
Aufgabe 330: Wurzelrätsel





Gesucht ist der Wert für X.