www.mathesport.de Knobelmix

zurück vor Lösung

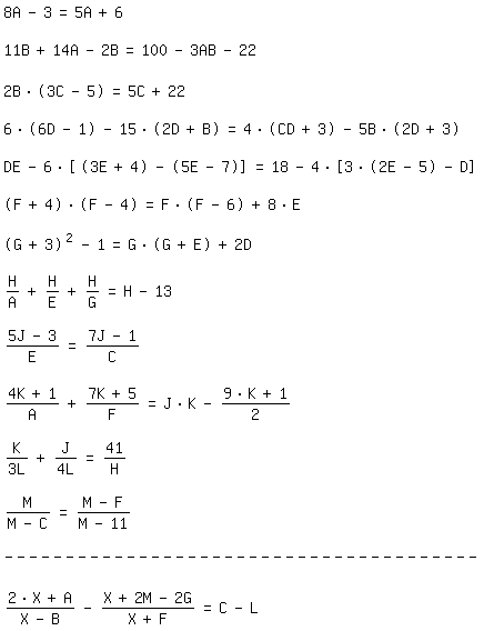
Aufgabe 331: Gleichungsketten





Gesucht ist der Wert für X.