www.mathesport.de Knobelmix

zurück vor Lösung

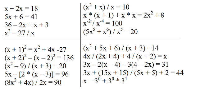
Aufgabe 452: Spielereien mit X



In jeder der achtzehn Aufgaben wird ein Wert für x gesucht!

Suchen Sie in der Tabelle zu jeder Lösung den daneben stehenden Buchstaben.

In der richtigen Reihenfolge ergeben die Buchstaben die Namen von vier Städten.

1 = R 2 = I 3 = I 4 = O 5 = K 6 = N 7 = W 8 = E 9 = N 10 = R
11 = E 12 = A 13 = R 14 = K 15 = B 16 = P 17 = I 18 = E 19 = S 20 = T
21 = U 22 = O 23 = T 24 = L 25 = M 26 = B 27 = E 28 = A 29 = K 30 = O